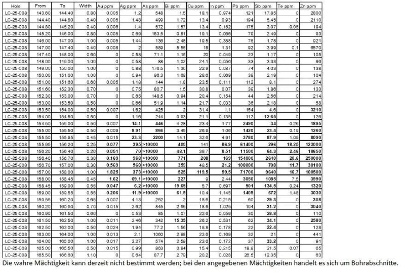
Gold X2 Mining Inc. (TSXV: AUXX / OTCQB: GSHRF / FWB: DF8) („Gold X2“ oder das „Unternehmen“) – https://www.rohstoff-tv.com/mediathek/unternehmen/profile/gold-x2-mining-inc/ – freut sich, die Untersuchungsergebnisse seines Infill-Bohrprogramms bekannt zu geben, das…
pit integriert CAFM nahtlos in SAP-Landschaften
In vielen Unternehmen ist SAP die zentrale Plattform, die alle kaufmännischen Kernprozesse harmonisiert und so eine zuverlässige Entscheidungsgrundlage für betriebswirtschaftliche Entscheidungen schafft. Entsprechend hoch sind die Anforderungen an die Integration…
DRPGroup präsentiert aktuelle Entwicklungen auf der IMEX in Frankfurt
Die internationale Kreativ- und Kommunikationsagentur DRPGroup präsentiert sich auf der diesjährigen IMEX Frankfurt mit mehreren Vorträgen zu den Zukunftsthemen Livekommunikation, hybride Eventformate und Künstliche Intelligenz. Mit praxisnahen Einblicken, Fallstudien und…
Die besten Hochschulen Deutschlands: Munich Business School im CHE Hochschulranking mit Spitzenergebnis
Das Hochschulranking vom Centrum für Hochschulentwicklung (CHE) ist der umfassendste Hochschulvergleich im deutschsprachigen Raum. Es erscheint seit mehr als zwei Jahrzehnenten exklusiv im ZEIT Studienführer sowie auf der Plattform HeyStudium….
AmdoSoft optimiert Messwerte-Clearing in der Energiewirtschaft durch intelligente Prozessautomatisierung
Die Energiewirtschaft steht im Zuge der fortschreitenden Digitalisierung und der zunehmenden Verbreitung intelligenter Messsysteme vor einer wachsenden Datenflut. Insbesondere im Bereich des Messwerte-Clearings – der Prüfung, Validierung und Korrektur von…
Geschäftsentwicklung 2025: TelemaxX mit starkem Jahresergebnis
Umsatz von 41,8 Mio. €, Ergebnis vor Steuern (EBT) in 2025 bei 1,7 Mio. €. Erfolgreiche Transformation mit Fokus auf Hosting- und Cloud-Lösungen sowie Effizienzsteigerung Die TelemaxX Telekommunikation GmbH hat…
Finanzierungssprechtag bei der IHK
Die IHK Heilbronn-Franken und die Handwerkskammer Heilbronn-Franken veranstalten gemeinsam mit der L-Bank und der Bürgschaftsbank Baden-Württemberg/Mittelständische Beteiligungsgesellschaft Baden-Württemberg (MBG) am Dienstag, 26. Mai, einen Finanzierungssprechtag. Dieser richtet sich an Existenzgründerinnen…
Canamera beginnt im Projekt São Sepé in Brasilien mit der Exploration in drei ermittelten Seltenerdmetall-Zielzonen von hoher Priorität
Canamera Energy Metals Corp. (CSE: EMET | OTCQB: EMETF | FWB: 4LF0) („Canamera“ oder das „Unternehmen“) freut sich, über den aktuellen Stand seiner Aktivitäten im Seltenerdmetallprojekt („REE“) São Sepé („São…
Power Metallic arbeitet mit Ideon Technologies zusammen, um mithilfe der Myonentomographie das Tiefenexplorationspotenzial der Lion Zone in Nisk zu erschließen
Power Metallic Mines Inc. (das „Unternehmen“ oder „Power Metallic“) (TSX-V: PNPN, OTCBB: PNPNF, Frankfurt: IVV1) freut sich, die Zusammenarbeit mit dem in Vancouver ansässigen Unternehmen Ideon Technologies („Ideon“) bei einer bildgebenden Bohrloch-Myonentomographie in der…
Erfolgreiche Premiere der CURSOR Leaders Lounge
Im Rahmen der CURSOR Leaders Lounge wurde über den Dächern Frankfurts über die Zukunft der Energieversorgung, Digitalisierung und neue Rollenbilder von Stadtwerken und Netzbetreibern diskutiert. Dabei wurde schnell klar: Die…
- « Vorherige Seite
- 1
- …
- 5
- 6
- 7
- 8
- 9
- …
- 12266
- Nächste Seite »
